题目内容
天文学家将相距较近、仅在彼此的引力作用下运行的两颗恒星称为双星.双星系统在银河系中很普遍.利用双星系统中两颗恒星的运动特征可推算出它们的总质量.已知某双星系统中两颗恒星围绕它们连线上的某一固定点分别做匀速圆周运动,周期均为T,两颗恒星之间的距离为r,试推算这个双星系统的总质量.(引力常量为G)
【答案】分析:这是一个双星的问题,两颗恒星围绕它们连线上的某一固定点分别做匀速圆周运动,它们之间的万有引力提供各自的向心力,两颗恒星有相同的角速度和周期,结合牛顿第二定律和万有引力定律解决问题.
解答:解:设两颗恒星的质量分别为m1、m2,做圆周运动的半径分别为r1、r2,角速度分别为ω1,ω2.根据题意有
ω1=ω2①
r1+r2=r②
根据万有引力定律和牛顿定律,有
G
③
G
④
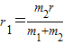
联立以上各式解得
⑤
根据解速度与周期的关系知
⑥
联立③⑤⑥式解得
⑦
答:这个双星系统的总质量是
点评:本题是双星问题,与卫星绕地球运动模型不同,两颗星都绕同一圆心做匀速圆周运动,关键抓住条件:相同的角速度和周期.
解答:解:设两颗恒星的质量分别为m1、m2,做圆周运动的半径分别为r1、r2,角速度分别为ω1,ω2.根据题意有
ω1=ω2①
r1+r2=r②
根据万有引力定律和牛顿定律,有
G
G
联立以上各式解得
根据解速度与周期的关系知
联立③⑤⑥式解得
答:这个双星系统的总质量是
点评:本题是双星问题,与卫星绕地球运动模型不同,两颗星都绕同一圆心做匀速圆周运动,关键抓住条件:相同的角速度和周期.
练习册系列答案
相关题目