题目内容
两物体甲和乙在同一直线上运动,它们在0~0.4s时间内的v-t图象如图所示,则甲与乙的加速度之比和图中时间t1分别为( )A.
B.3和0.30s
C.
D.3和0.28s
【答案】分析:先根据数学三角形相似法求解t1.速度图象的斜率等于物体的加速度,由数学知识求出两个物体的加速度,再加速度的比值.
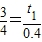
解答:解:由图,根据数学三角形相似法得,
,得到t1=0.3s.
甲的加速度为a甲=
=
乙的加速度为a乙=
=
,其大小为10m/s2
则甲与乙的加速度大小之比为
.
故选A
点评:本题关键根据数学知识求解时间.对于物理图象常常运用数学工具去理解、研究图象的物理意义.
解答:解:由图,根据数学三角形相似法得,
甲的加速度为a甲=
乙的加速度为a乙=
则甲与乙的加速度大小之比为
故选A
点评:本题关键根据数学知识求解时间.对于物理图象常常运用数学工具去理解、研究图象的物理意义.
练习册系列答案
相关题目