ÌâÄ¿ÄÚÈÝ
ÏÖÒª²âÁ¿µçÁ÷±íG1µÄÄÚ×裬¸ø³öÏÂÁÐÆ÷²Ä£ºµçÁ÷±íG1£¨Á¿³Ì5mA£¬ÄÚ×èr1ԼΪ150¦¸×óÓÒ£©£¬
µçÁ÷±íG2£¨Á¿³Ì10mA£¬ÄÚ×èr2ԼΪ100¦¸×óÓÒ£©
¶¨Öµµç×èR1=100¦¸
¶¨Öµµç×èR2=10¦¸
»¬¶¯±ä×èÆ÷R3£¨0¡«200¦¸£©
¸Éµç³ØE£¨1.5V£¬ÄÚ×èδ֪£©
µ¥µ¶µ¥ÖÀ¿ª¹ØS µ¼ÏßÈô¸É
¢Ù¶¨Öµµç×èÑ¡______£»
¢ÚÔÚ·½¿òÖл³öʵÑéµç·Éè¼ÆÍ¼£¬²¢±êÃ÷ËùÓÃÆ÷²ÄµÄ´úºÅ£»
¢ÛÈôÑ¡²âÁ¿Êý¾ÝÖеÄÒ»×éÀ´¼ÆËãr1£¬ËùÓõıí´ïʽr1______£¬Ê½Öи÷·ûºÅµÄÒâÒåÊÇ£º______£®
¡¾´ð°¸¡¿·ÖÎö£º¢Ù¶¨Öµµç×èµÄÑ¡Ôñ£ºÊµÑéÖж¨Öµµç×èÓëG1²¢Áª£¬ÈôÆä×èֵ̫С£¬»áʹÆäµçÁ÷¹ý´ó£¬Ó¦Ñ¡ÓëG1ÄÚ×èÏà²î²»´óµÄ£®
¢Ú¾ÝËù¸øÆ÷²Ä£¬Éè¼ÆÊµÑéµç·£¬°ÑG1Ó붨ֵµç×è²¢Áª£¬ÓÉG2ÓëG1ʾÊýµÃ¶¨Öµµç×èµÄµçÁ÷£¬¾Ý²¢Áªµç·µçÁ÷Óëµç×è³É·´±È¹ØÏµµÃG1ÄÚ×裮
¢ÛÓɲâÁ¿Öµ±í´ï³ö¶¨Öµµç×èµÄµçÁ÷ºÍG1µÄµçÁ÷£¬ÓɵçÁ÷Óëµç×èµÄ¹ØÏµÁеÈʽ£®
½â´ð£º½â£º¢ÙÈôÑ¡R2£¬ÔòÆä×èֵ̫С£¬µçÁ÷¹ý´ó£¬¶øR1ÓëG1ÄÚ×èÏ൱£¬¹ÊÑ¡£ºR1
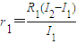
¢Úµç·ͼÈçͼËùʾ£ºG2µÄʾÊý-G1µÄʾÊýΪͨ¹ýR1µÄµçÁ÷Öµ£®
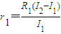
¢ÛÓɲ¢ÁªµçÂ·ÌØµã£ºI1r1=R1£¨I2-I1£© µÃ
I1¡¢I2·Ö±ð±íʾµçÁ÷±íG1¡¢G2¶ÁÊý£¬R1±íʾ¶¨Öµµç×èR1µÄ×èÖµ£®
¹Ê´ð°¸Îª£º¢ÙR1 ¢Úµç·ͼÈçͼ ¢Û
I1¡¢I2·Ö±ð±íʾµçÁ÷±íG1¡¢G2¶ÁÊý£¬R1±íʾ¶¨Öµµç×èR1µÄ×èÖµ£®
µãÆÀ£º¿¼²é²¢ÁªµçÂ·ÌØµã£¬Ã÷È·µçÁ÷Óëµç×èµÄ·´±È¹ØÏµ£¬Ñ§»áÓÉËù¸øÆ÷²ÄÉè¼Æµç·£®
¢Ú¾ÝËù¸øÆ÷²Ä£¬Éè¼ÆÊµÑéµç·£¬°ÑG1Ó붨ֵµç×è²¢Áª£¬ÓÉG2ÓëG1ʾÊýµÃ¶¨Öµµç×èµÄµçÁ÷£¬¾Ý²¢Áªµç·µçÁ÷Óëµç×è³É·´±È¹ØÏµµÃG1ÄÚ×裮
¢ÛÓɲâÁ¿Öµ±í´ï³ö¶¨Öµµç×èµÄµçÁ÷ºÍG1µÄµçÁ÷£¬ÓɵçÁ÷Óëµç×èµÄ¹ØÏµÁеÈʽ£®
½â´ð£º½â£º¢ÙÈôÑ¡R2£¬ÔòÆä×èֵ̫С£¬µçÁ÷¹ý´ó£¬¶øR1ÓëG1ÄÚ×èÏ൱£¬¹ÊÑ¡£ºR1
¢Úµç·ͼÈçͼËùʾ£ºG2µÄʾÊý-G1µÄʾÊýΪͨ¹ýR1µÄµçÁ÷Öµ£®
¢ÛÓɲ¢ÁªµçÂ·ÌØµã£ºI1r1=R1£¨I2-I1£© µÃ
I1¡¢I2·Ö±ð±íʾµçÁ÷±íG1¡¢G2¶ÁÊý£¬R1±íʾ¶¨Öµµç×èR1µÄ×èÖµ£®
¹Ê´ð°¸Îª£º¢ÙR1 ¢Úµç·ͼÈçͼ ¢Û
I1¡¢I2·Ö±ð±íʾµçÁ÷±íG1¡¢G2¶ÁÊý£¬R1±íʾ¶¨Öµµç×èR1µÄ×èÖµ£®
µãÆÀ£º¿¼²é²¢ÁªµçÂ·ÌØµã£¬Ã÷È·µçÁ÷Óëµç×èµÄ·´±È¹ØÏµ£¬Ñ§»áÓÉËù¸øÆ÷²ÄÉè¼Æµç·£®
Á·Ï°²áϵÁдð°¸
Ïà¹ØÌâÄ¿