题目内容

物体M从A运动到B,前半程平均速度为v1,后半程平均速度为v2,那么全程的平均速度是( )
A.
B.
C.
D.
【答案】分析:根据平均速度的定义式求出全程的平均速度.
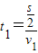
解答:解:设全程位移为s,则前半程运动的时间,后半程运动的时间,则全程的平均速度.故D正确,A、B、C错误.
故选D.
点评:解决本题的关键掌握平均速度的定义式,根据定义式求出平均速度.
练习册系列答案
相关题目

违法和不良信息举报电话:027-86699610 举报邮箱:58377363@163.com

精英家教网