ÌâÄ¿ÄÚÈÝ

ÈçͼËùʾ£¬ÔÚ×ã¹»³¤µÄ¹â»¬Ë®Æ½¹ìµÀÉϾ²Ö¹Èý¸öСľ¿éA£¬B£¬C£¬ÖÊÁ¿·Ö±ðΪmA£½1 kg£¬mB£½1 kg£¬mC£½2 kg£¬ÆäÖÐBÓëCÓÃÒ»¸öÇᵯ»É¹Ì¶¨Á¬½Ó£¬¿ªÊ¼Ê±Õû¸ö×°Öô¦ÓÚ¾²Ö¹×´Ì¬£»AºÍBÖ®¼äÓÐÉÙÐíËܽºÕ¨Ò©£¬AµÄ×ó±ßÓÐÒ»¸öµ¯ÐÔµ²°å(Сľ¿éºÍµ¯ÐÔµ²°åÅöײ¹ý³ÌûÓÐÄÜÁ¿Ëðʧ)£®ÏÖÔÚÒý±¬ËܽºÕ¨Ò©£¬ÈôÕ¨Ò©±¬Õ¨²úÉúµÄÄÜÁ¿ÓÐE£½9 Jת»¯ÎªAºÍBÑØ¹ìµÀ·½ÏòµÄ¶¯ÄÜ£¬AºÍB·Ö¿ªºó£¬AÇ¡ºÃÔÚBCÖ®¼äµÄµ¯»ÉµÚÒ»´Î»Ö¸´µ½Ô­³¤Ê±×·ÉÏB£¬²¢ÇÒÔÚÅöײºóºÍBÕ³µ½Ò»Æð£®Çó£º

(1)ÔÚA×·ÉÏB֮ǰµ¯»Éµ¯ÐÔÊÆÄܵÄ×î´óÖµ£»

(2)AÓëBÏàÅöÒԺ󵯻ɵ¯ÐÔÊÆÄܵÄ×î´óÖµ£®

´ð°¸£º
½âÎö£º

¡¡¡¡(1)ËܽºÕ¨Ò©±¬Õ¨Ë²¼äÈ¡AºÍBΪÑо¿¶ÔÏ󣬼ÙÉ豬ըºó˲¼äABµÄËÙ¶È´óС·Ö±ðΪvA¡¢vB£¬È¡ÏòÓÒΪÕý·½Ïò

¡¡¡¡Óɶ¯Á¿Êغ㣺£­mAvA£«mBmB£½0¡¡¢Ù

¡¡¡¡±¬Õ¨²úÉúµÄÈÈÁ¿ÓÉ9 Jת»¯ÎªABµÄ¶¯ÄÜ£º¡¡¢Ú

¡¡¡¡´øÈëÊý¾Ý½âµÃ£ºvA£½vB£½3 m/s¡¡¢Û

¡¡¡¡ÓÉÓÚAÔÚÕ¨Ò©±¬Õ¨ºóÔÙ´Î×·ÉÏBµÄʱºòµ¯»ÉÇ¡ºÃµÚÒ»´Î»Ö¸´µ½Ô­³¤£¬ÔòÔÚA×·ÉÏB֮ǰµ¯»ÉÒѾ­ÓÐÒ»´Î±»Ñ¹Ëõµ½×î¶Ì£¬(¼´µ¯ÐÔÊÆÄÜ×î´ó)±¬Õ¨ºóÈ¡BCºÍµ¯»ÉΪÑо¿ÏµÍ³£¬µ±µ¯»ÉµÚÒ»´Î±»Ñ¹Ëõµ½×î¶ÌʱBC´ïµ½¹²ËÙvBC£¬´Ëʱµ¯»ÉµÄµ¯ÐÔÊÆÄÜ×î´ó£¬ÉèΪEp1

¡¡¡¡Óɶ¯Á¿Êغ㣺mBvB£½(mB£«mC)vBC¡¡¢Ü

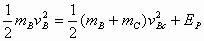
¡¡¡¡ÓÉÄÜÁ¿¶¨ºã¶¨¶¨ÂÉ£º¡¡¢Ý

¡¡¡¡´øÈëÊý¾ÝµÃ£ºEP1£½3 J¡¡¢Þ

¡¡¡¡ÆäÖТ٢ڢܢݺÍ2·Ö¢Þ1·Ö

¡¡¡¡(2)ÉèBCÖ®¼äµÄµ¯»ÉµÚÒ»´Î»Ö¸´µ½Ô­³¤Ê±B¡¢CµÄËÙ¶È´óС·Ö±ðΪvB1ºÍvC1£¬ÔòÓɶ¯Á¿ÊغãºÍÄÜÁ¿Êغ㣺

¡¡¡¡mBvB£½mBvB1£«mCvC1¡¡¢ß

¡¡¡¡¡¡¢à

¡¡¡¡´øÈëÊý¾Ý½âµÃ£ºvB1£½£­1 m/s£»vC1£½2 m/s¡¡¢á

¡¡¡¡(vB1£½3 m/s£»vC1£½0 m/s²»ºÏÌâÒ⣬ÉáÈ¥£®)

¡¡¡¡A±¬Õ¨ºóÏÈÏò×óÔÈËÙÔ˶¯£¬Ó뵯ÐÔµ²°åÅöײÒÔºóËÙ¶È´óС²»±ä£¬·´Ïòµ¯»Ø£®µ±A×·ÉÏB£¬

¡¡¡¡·¢ÉúÅöײ˲¼ä´ïµ½¹²ËÙvAB

¡¡¡¡Óɶ¯Á¿Êغ㣺mAvA£«mBvB1£½(mA£«mB)vAB¡¡¢â

¡¡¡¡½âµÃ£ºvAB£½1 m/s¡¡(11)

¡¡¡¡µ±ABCÈýÕß´ïµ½¹²Í¬ËÙ¶ÈvABCʱ£¬µ¯»ÉµÄµ¯ÐÔÊÆÄÜ×î´óΪEP2

¡¡¡¡Óɶ¯Á¿Êغ㣺(mA£«mB)vAB£«mCvC1£½(mA£«mB£«mC)vABC¡¡(12)

¡¡¡¡ÓÉÄÜÁ¿Êغ㣺¡¡(13)

¡¡¡¡´øÈëÊý¾ÝµÃ£ºEP2£½0.5 J¡¡(14)

¡¡¡¡ÆäÖТߢà(13)¸÷2·Ö¢á¢â(11)(14)¸÷1·Ö


Á·Ï°²áϵÁдð°¸
Ïà¹ØÌâÄ¿

Î¥·¨ºÍ²»Á¼ÐÅÏ¢¾Ù±¨µç»°£º027-86699610 ¾Ù±¨ÓÊÏ䣺58377363@163.com

¾«Ó¢¼Ò½ÌÍø