题目内容
一平行板电容器中存在匀强电场,电场沿竖直方向.两个比荷(即粒子的电荷量与质量之比)不同的带正电的粒子a和b,从电容器的P点(如图)以相同的水平速度射入两平行板之间.测得a和b与电容极板的撞击点到入射点之间的水平距离之比为1:2.若不计重力,则a和b的比荷之比是( )A.1:2
B.1:8
C.2:1
D.4:1
【答案】分析:粒子的运动方向垂直于电场线的方向,故粒子做类平抛运动,由水平距离之比可求得时间之比;因沿电场线方向粒子的距离相等,则表示出比荷的表达式,求得比荷之比.
解答:解:两带电粒子都做类平抛运动,水平方向匀速运动,有x=vt,垂直金属板方向做初速度为零的匀加速直线运动,有
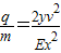
,
电荷在电场中受的力为F=Eq,根据牛顿第二定律有F=ma,
联立解得:
,因为两粒子在同一电场中运动,E相同,初速度相同,侧位移相同,所以比荷与水平位移的平方成反比.所以比荷之比为4:1,故D正确.
故选D.
点评:当粒子垂直于电场进入时,粒子做平抛运动,因此可以分为沿电场线的匀加速直线运动和垂直于电场线方向上的匀速直线运动,两个运动互不干扰.
解答:解:两带电粒子都做类平抛运动,水平方向匀速运动,有x=vt,垂直金属板方向做初速度为零的匀加速直线运动,有
电荷在电场中受的力为F=Eq,根据牛顿第二定律有F=ma,
联立解得:
故选D.
点评:当粒子垂直于电场进入时,粒子做平抛运动,因此可以分为沿电场线的匀加速直线运动和垂直于电场线方向上的匀速直线运动,两个运动互不干扰.
练习册系列答案
相关题目