题目内容

在测定匀变速直线运动加速度的实验中,选定一条纸带如图所示,已知交变电流的频率f=50Hz。从0点开始,每5个点取一个计数点,其中0、1、2、3、4、5、6都为计数点。测得:x1=1.85cm,x2=3.04cm,x3=4.25cm,x4=5.48cm,x5=6.68cm,x6=7.90cm。

(1)在计时器打出计数点4时,小车的速度v4 =       cm/s(结果保留3位有效数字)。

(2)加速度a =       m/s2。(结果保留3位有效数字)。

 

【答案】

(1)60.8cm/s   (2)1.32m/s

【解析】

试题分析:(1)计时器打出计数点4时小车的速度等于3到5之间的平均速度,即

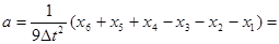
(2)根据逐差法公式1.32m/s2

考点:此题考查通过纸带求瞬时速度和加速度的问题。

 

练习册系列答案
相关题目

违法和不良信息举报电话:027-86699610 举报邮箱:58377363@163.com

精英家教网