题目内容
空间存在匀强电场,有一电荷量为q(q为正)、质量为m的粒子从O点以速率vo射入电场,运动到A点时速率为2vo.现有另一电荷量为-q、质量为A.在O、A、B三点中,O点电势最高
B.在O、A、B三点中,A点电势最高
C.BA间的电势差比BO间的电势差小
D.OA间的电势差比BO间的电势差大
【答案】分析:根据电场力做功与电势能之间的关系,电场力做正功,电势能减小,可以判断电势的高低;
在由电势差的定义式可以分析OA、BO的电势差的大小.
解答:解:正电荷由O到A,动能变大,电场力做正功,电势能减小,电势也减小,所以O点的电势比A点的高;
负电荷从O到B速度增大,电场力也做正功,电势能减小,电势升高,B点电势比O点高.所以B点最高,故A对,B错误;
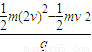
由电场力做功的公式可得
UOA=
=
=
UOB=
=
,
则UBO=
,因此UOA>UBO 故D正确;
由上可知,UBA=UBO+UOA=
+
=
,因此C错误,D选项正确.
故选D.
点评:在计算电场力做功和电势的大小时,一定要注意物理量的正负号,它表示了电势的高低,求电势差时也是如此.
在由电势差的定义式可以分析OA、BO的电势差的大小.
解答:解:正电荷由O到A,动能变大,电场力做正功,电势能减小,电势也减小,所以O点的电势比A点的高;
负电荷从O到B速度增大,电场力也做正功,电势能减小,电势升高,B点电势比O点高.所以B点最高,故A对,B错误;
由电场力做功的公式可得
UOA=
UOB=
则UBO=
由上可知,UBA=UBO+UOA=
故选D.
点评:在计算电场力做功和电势的大小时,一定要注意物理量的正负号,它表示了电势的高低,求电势差时也是如此.
练习册系列答案
相关题目