题目内容
如图所示,一带电物体A以一定的初速度v从绝缘粗糙水平面上的P点向固定的带电物体B运动,A与B带同种性质的电荷,当A向右运动距离s时速度减为零,那么当物体A以相同的初速度从P点向右运动距离A.动能等于初动能的一半
B.动能小于初动能的一半
C.动能的减少量等于摩擦产生的热量
D.动能的减少量大于摩擦产生的热量
【答案】分析:求解本题的关键是明确P点与位置s及
间电压的大小关系,然后再根据动能定理和摩擦生热公式即可求解.
解答:解:设物体A电量为q,P与S及
间的电压分别为
,A与地面间的动摩擦因数为μ,由动能定理可得:
-q
-μmgs=0-
①
-q
-
=
-
②
又
=
,
=
,根据物体B产生的电场特点可知
,所以
③
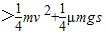
联立①②③可得
,即物体A的动能应大于初动能的一半,所以A、B错误.
由摩擦生热表达式Q=f
,结合①②式可得动能的减少量应大于摩擦产生的热量,所以D正确C错误.
故选D.
点评:涉及到“动能”的问题,要利用动能定理求解,注意电场力做功的一般求法.
解答:解:设物体A电量为q,P与S及
-q
-q
又
联立①②③可得
由摩擦生热表达式Q=f
故选D.
点评:涉及到“动能”的问题,要利用动能定理求解,注意电场力做功的一般求法.
练习册系列答案
相关题目