题目内容

某人在室内以窗户为背景摄影时,恰好把窗外从高处落下的一个小石子摄入照片中,已知本次摄影的曝光时间是0.02s,量得照片中石子运动的轨迹的长度为1.6cm,实际长度为100cm的窗框在照片中的长度为4.0cm.根据以上的数据,你能算出石子是从多高的地方落下吗?(提示:可以把这段很短时间内石子的运动当成匀速直线运动来处理)(g取)

答案:20m
解析:

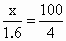
设照片上痕迹的实际长度为x

x=40cm.拍摄时石子下落过程可以当作是匀速直线运动,所以这一段上的速度.由.即石子下落的高度是20m

做此题的关键是找出底片与实物的对应关系,实物经过的时间和曝光时间是相同的.


练习册系列答案
相关题目

违法和不良信息举报电话:027-86699610 举报邮箱:58377363@163.com

精英家教网