题目内容
铝的逸出功是4.2eV,现在用波长200nm的光照射铝的表面.(1)光电子的最大初动能是 ;
(2)遏止电压是 .
【答案】分析:根据光电效应方程求出光电子的最大初动能,通过
求出遏止电压的大小.
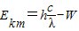
解答:解:(1)根据光电效应方程得,
=
J=3.225×10-19J.
(2)根据
,解得遏止电压
.
故答案为:(1)3.225×10-19J.2V.
点评:解决本题的关键掌握光电效应方程以及知道最大初动能与遏止电压的关系.
解答:解:(1)根据光电效应方程得,
(2)根据
故答案为:(1)3.225×10-19J.2V.
点评:解决本题的关键掌握光电效应方程以及知道最大初动能与遏止电压的关系.
练习册系列答案
相关题目