ÌâÄ¿ÄÚÈÝ
£¨1£©Ä¾¿éÔÚab¶ÎÊܵ½µÄĦ²ÁÁ¦f£»
£¨2£©Ä¾¿é×îºó¾àaµãµÄ¾àÀës£®
¡¾´ð°¸¡¿·ÖÎö£º£¨1£©Á½ÎïÌå´Ó¿ªÊ¼µ½µÚÒ»´Îµ½´ï¹²Í¬Ëٶȹý³ÌÖж¯Á¿Êغ㣬½áºÏ¶¯Á¿Êغ㶨ÂɺÍÄÜÁ¿Êغ㶨ÂÉÇó³öľ¿éÔÚab¶ÎÊܵ½µÄĦ²ÁÁ¦£®
£¨2£©Ä¾¿é·µ»ØÓëÎïÌåPµÚ¶þ´Î´ïµ½¹²Í¬ËÙ¶ÈÓëµÚÒ»´Î´ïµ½¹²Í¬µÄËÙ¶ÈÏàͬ£¬¶ÔÈ«¹ý³ÌÔËÓÃÄÜÁ¿Êغ㶨ÂÉÇó³öľ¿é×îºó¾àaµãµÄ¾àÀës£®
½â´ð£º½â£º£¨1£©Éèľ¿éºÍÎïÌåP¹²Í¬ËÙ¶ÈΪv£¬Á½ÎïÌå´Ó¿ªÊ¼µ½µÚÒ»´Îµ½´ï¹²Í¬Ëٶȹý³ÌÓɶ¯Á¿ºÍÄÜÁ¿ÊغãµÃ£ºmv=£¨m+2m£©v¡¢Ù
¡¢Ú
Óɢ٢ڵãº
¡¢Û
£¨2£©Ä¾¿é·µ»ØÓëÎïÌåPµÚ¶þ´Î´ïµ½¹²Í¬ËÙ¶ÈÓëµÚÒ»´ÎÏàͬ£¨¶¯Á¿Êغ㣩ȫ¹ý³ÌÄÜÁ¿ÊغãµÃ£º
¡¢Ü
Óɢڢۢܵãº
£®
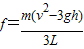
´ð£º£¨1£©Ä¾¿éÔÚab¶ÎÊܵ½µÄĦ²ÁÁ¦
£®
£¨2£©Ä¾¿é×îºó¾àaµãµÄ¾àÀë
£®
µãÆÀ£º±¾Ìâ×ÛºÏÔËÓÃÁ˶¯Á¿Êغ㶨ÂɺÍÄÜÁ¿Êغ㶨ÂÉ£¬¹Ø¼üÑ¡ÔñÑо¿µÄ¹ý³Ì£¬¸ù¾Ý¶¨ÂÉÁбí´ïʽ½øÐÐÇó½â£®
£¨2£©Ä¾¿é·µ»ØÓëÎïÌåPµÚ¶þ´Î´ïµ½¹²Í¬ËÙ¶ÈÓëµÚÒ»´Î´ïµ½¹²Í¬µÄËÙ¶ÈÏàͬ£¬¶ÔÈ«¹ý³ÌÔËÓÃÄÜÁ¿Êغ㶨ÂÉÇó³öľ¿é×îºó¾àaµãµÄ¾àÀës£®
½â´ð£º½â£º£¨1£©Éèľ¿éºÍÎïÌåP¹²Í¬ËÙ¶ÈΪv£¬Á½ÎïÌå´Ó¿ªÊ¼µ½µÚÒ»´Îµ½´ï¹²Í¬Ëٶȹý³ÌÓɶ¯Á¿ºÍÄÜÁ¿ÊغãµÃ£ºmv=£¨m+2m£©v¡¢Ù
Óɢ٢ڵãº
£¨2£©Ä¾¿é·µ»ØÓëÎïÌåPµÚ¶þ´Î´ïµ½¹²Í¬ËÙ¶ÈÓëµÚÒ»´ÎÏàͬ£¨¶¯Á¿Êغ㣩ȫ¹ý³ÌÄÜÁ¿ÊغãµÃ£º
Óɢڢۢܵãº
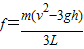
´ð£º£¨1£©Ä¾¿éÔÚab¶ÎÊܵ½µÄĦ²ÁÁ¦
£¨2£©Ä¾¿é×îºó¾àaµãµÄ¾àÀë
µãÆÀ£º±¾Ìâ×ÛºÏÔËÓÃÁ˶¯Á¿Êغ㶨ÂɺÍÄÜÁ¿Êغ㶨ÂÉ£¬¹Ø¼üÑ¡ÔñÑо¿µÄ¹ý³Ì£¬¸ù¾Ý¶¨ÂÉÁбí´ïʽ½øÐÐÇó½â£®
Á·Ï°²áϵÁдð°¸
Ïà¹ØÌâÄ¿