题目内容

在“验证牛顿第二定律”的实验中,打出的纸带相邻计数点间的时间间隔是T.

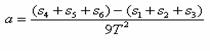
(1)测出纸带各相邻计数点之间的距离分别为s1、s2、s3、s4、s5、s6.,为使由实验数据计算的结果更精确一些,计算加速度平均值的公式应为a=________.

(2)在该实验中,为验证质量不变时,加速度与合外力成正比,小车质量M、砂及砂桶的质量m分别选取下列四组值.

A.M=500g,m分别为100g、200g、300g、400g

B. M=500g,m分别为10g、20g、30g、40g、

C.m=500g,M分别为100g、 200g、300g、 400g

D. m=500g,M分别为10g、20g、30g、40g、

若其他操作都正确,那么在选用______组值测量时所画出的a一F图象较准确.

                                           (3分)    

 

   B (3分)

练习册系列答案
相关题目
(1)如图1所示为某同学所安装的“验证牛顿第二定律”的实验装置,在图示状态下,开始做实验,该同学有装置和操作中的主要错误是:

a.
长木板右端未垫高以平衡摩撩力
长木板右端未垫高以平衡摩撩力
b.
电源应改用6V交流电源
电源应改用6V交流电源

c.
牵引小车的细线没有与木板平行
牵引小车的细线没有与木板平行
 d.
开始实验时,小车离打点计时器太远
开始实验时,小车离打点计时器太远

(2)在“验证牛顿第二定律”的实验中,为了使小车受到合外力等于小沙桶和沙的总重量,通常采用如下两个措施:
(A)平衡摩擦力:将长木板无滑轮的一端下面垫一小木块,反复移动木块的位置,直到小车在小桶的拉动下带动纸带与小车一起做匀速直线运动;
(B)调整沙的多少,使沙和小沙桶的总质量m远小于小车和砝码的总质量M,请问:
①以上哪一个措施中有何重大错误?
A
A

②在改正了上述错误之后,保持小车(包括砝码)质量M不变,反复改变沙的质量,并测得一系列数据,结果发现小车受到的合外力(小桶及砂重量)与加速度的比值略大于小车(包括砝码)质量M,经检查发现滑轮非常光滑,打点计时器工作正常,且事先基本上平衡了摩擦力,那么出现这种情况的主要原因是什么?
由于小桶及砂的失重,拉小车的合外力F<mg,而处理数据时又将F=mg处理.因此,M=
F
a
mg
a
由于小桶及砂的失重,拉小车的合外力F<mg,而处理数据时又将F=mg处理.因此,M=
F
a
mg
a

(3)某一同学在“验证牛顿第二定律”的实验数据处理中作出了如图2的图象,形成这个图象的原因是平衡摩擦力时长木板倾角
过小
过小
、沙子
太多
太多
.(填“过大”、“过小”、“太多”、“太少”)

违法和不良信息举报电话:027-86699610 举报邮箱:58377363@163.com

精英家教网