题目内容

如图中的实线是某时刻的波形图像,虚线是经过0.2s时的波形图像。

(1)假定波向左传播,求它传播的可能距离。

(2)若这列波向右传播,求它的最大周期。

(3)假定波速是35m/s,求传播波的方向。

 (1)    (4n+3) m  (n=0,1,2,3……) (2)    0.8s (3)    向左传

【解析】

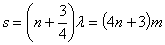
试题分析:(1)当波向左传播时,由图像可知波长为4m,

(n=0,1,2,3……)

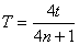
 (2) 根据,在所有可能的周期中,当n=0时的最大,故最大周期为0.8s

 (3)如果当波向左传播时,

,为正整数,因此波向左传播

考点:考查波的多解问题

点评:本题难度中等,由于波的图像的重复性造成多解问题

练习册系列答案
相关题目

违法和不良信息举报电话:027-86699610 举报邮箱:58377363@163.com

精英家教网