题目内容

在速度u上升的升降机中, 以速度v0竖直向上抛出一球. 机内观察者看到小球经过t(s)后达到最高点. 计 算地面上的人所见小球自抛出点上升的最大高度Hm=______, 上升的时间t=______.

[  ]

A.Hm=

B.Hm=

C.Hm=

D.Hm=

答案:B
解析:

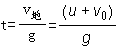
解: 小球抛出时相对于地的速度为v地=(u+v0)(方向竖直向上).

    地面上的人所见球上升的时间

    小球自抛出点上升的最大高度

 


练习册系列答案
相关题目

违法和不良信息举报电话:027-86699610 举报邮箱:58377363@163.com

精英家教网