题目内容
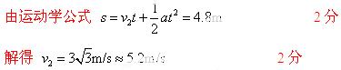
(2013年5月武汉市模拟)如图所示,足够长的光滑固定斜面倾角为θ=30°,某同学在斜面上做了两次实验:第一次在斜面上的O点将小球以速度v1=6m/s水平向右抛出,小球第一次与斜面相碰的位置记为P点;第二次仍在O点使小球以某一初速度沿斜面向下运动,小球经过相同的时间也恰好到达P点,已知重力加速度g=10m/s2,求
(1)O、P两点的间距s;
(2)第二次实验时小球沿斜面向下运动的初速度v2。
![]()
练习册系列答案
相关题目
题目内容
(2013年5月武汉市模拟)如图所示,足够长的光滑固定斜面倾角为θ=30°,某同学在斜面上做了两次实验:第一次在斜面上的O点将小球以速度v1=6m/s水平向右抛出,小球第一次与斜面相碰的位置记为P点;第二次仍在O点使小球以某一初速度沿斜面向下运动,小球经过相同的时间也恰好到达P点,已知重力加速度g=10m/s2,求
(1)O、P两点的间距s;
(2)第二次实验时小球沿斜面向下运动的初速度v2。
![]()