题目内容

用如图a所示的装置“验证机械能守恒定律”
①下列物理量需要测量的是__________、通过计算得到的是_____________(填写代号)

A.重锤质量
B.重力加速度
C.重锤下落的高度
D.与下落高度对应的重锤的瞬时速度
②设重锤质量为m、打点计时器的打点周期为T、重力加速度为g.图b是实验得到的一条纸带,ABCDE为相邻的连续点.根据测得的s1s2s3s4写出重物由B点到D点势能减少量的表达式__________,动能增量的表达式__________.由于重锤下落时要克服阻力做功,所以该实验的动能增量总是__________(填“大于”、“等于”或“小于”)重力势能的减小量.

(1)①C、D②(s3-s1mg,小于

解析

练习册系列答案
相关题目
(1)用如图所示的实验装置验证牛顿第二定律.

①完成平衡摩擦力的相关内容:
(i)取下砂桶,把木板不带滑轮的一端垫高,接通打点计时器电源,
轻推
轻推
(选填“静止释放”或“轻推”)小车,让小车拖着纸带运动.
(ii)如果打出的纸带如图所示,则应
减小
减小
(选填“增大”或“减小”)木板的倾角,反复调节,直到纸带上打出的点迹
间隔均匀
间隔均匀
,平衡摩擦力才完成.

②如图所示是某次实验中得到的一条纸带,其中A、B、C、D、E是计数点(每打5个点取一个计数点),其中L1=3.07cm,L2=12.38cm,L3=27.87cm,L4=49.62cm.则打C点时小车的速度为
1.24
1.24
m/s,小车的加速度是
6.22
6.22
m/s2.(计算结果均保留三位有效数字)

(2)用如图a所示的装置“验证机械能守恒定律”
①下列物理量需要测量的是
C
C
、通过计算得到的是
D
D
(填写代号)
A.重锤质量                B.重力加速度
C.重锤下落的高度          D.与下落高度对应的重锤的瞬时速度
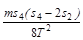
②设重锤质量为m、打点计时器的打点周期为T、重力加速度为g.图b是实验得到的一条纸带,A、B、C、D、E为相邻的连续点.根据测得的s1、s2、s3、s4写出重物由B点到D点势能减少量的表达式
(s3-s1)mg
(s3-s1)mg
,动能增量的表达式
ms4(
s
 
4
-2s2)
8T2
ms4(
s
 
4
-2s2)
8T2
.由于重锤下落时要克服阻力做功,所以该实验的动能增量总是
小于
小于
(填“大于”、“等于”或“小于”)重力势能的减小量.

违法和不良信息举报电话:027-86699610 举报邮箱:58377363@163.com

精英家教网