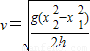
题目内容
在研究平抛运动的实验中,某同学只在竖直板面上记下了重垂线Y的方向,但忘了记下平抛的初位置,在坐标纸上描出了一段曲线的轨迹,如图所示,现在曲线上取A、B两点,量出它们到y轴的距离,AA′=xl,BB′=x2,以及AB的竖直距离h,用这些可以求得小球平抛时初速度为 ( )A.
B.
C.
D.
【答案】分析:正确应用平抛运动规律:水平方向匀速直线运动,竖直方向自由落体运动;根据平抛运动的分位移公式列式求解后联立求解即可.
解答:解:设抛出点为O点,从抛出到A点过程,根据平抛运动的分位移公式,有:
x1=vt1 ①
②
从抛出到B点过程,根据平抛运动的分位移公式,有:
x2=vt2 ③
④
联立解得

故选A.
点评:对于平抛运动问题,一定明确其水平和竖直方向运动特点,尤其是在竖直方向熟练应用匀变速直线运动的规律和推论解题.
解答:解:设抛出点为O点,从抛出到A点过程,根据平抛运动的分位移公式,有:
x1=vt1 ①
从抛出到B点过程,根据平抛运动的分位移公式,有:
x2=vt2 ③
联立解得
故选A.
点评:对于平抛运动问题,一定明确其水平和竖直方向运动特点,尤其是在竖直方向熟练应用匀变速直线运动的规律和推论解题.
练习册系列答案
相关题目