题目内容
以初速度v水平抛出一个物体,不计空气阻力,经过时间t速度的大小为vt,经过时间2t,速度大小的正确表达式应该是( )A.v+2gt
B.vt+gt
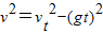
C.
D.
【答案】分析:根据平抛运动的基本规律及速度的合成法则即可求解.
解答:解:平抛运动竖直方向做自由落体运动,则
vy=gt
所以经过时间2t时竖直方向速度为:vy′=2gt
水平方向做匀速运动,速度不变,
所以v=
根据vt=
解得:
所以v=
=
,所以CD正确.
故选CD
点评:本题主要考查了平抛运动的基本规律,知道平抛运动竖直方向做自由落体运动,水平方向做匀速运动,难度不大,属于基础题.
解答:解:平抛运动竖直方向做自由落体运动,则
vy=gt
所以经过时间2t时竖直方向速度为:vy′=2gt
水平方向做匀速运动,速度不变,
所以v=
根据vt=
所以v=
故选CD
点评:本题主要考查了平抛运动的基本规律,知道平抛运动竖直方向做自由落体运动,水平方向做匀速运动,难度不大,属于基础题.
练习册系列答案
相关题目