题目内容
在电能的输送过程中,若输送的电功率一定、输电线电阻一定时,对于在输电线上损失的电功率,有如下四种判断,其中正确的是( )①与输送电线上电压降的平方成反比 ②与输送电压的平方成正比
③与输送电线上电压降的平方成正比 ④与输送电压的平方成反比.
A.①和②
B.③和④
C.①和④
D.②和③
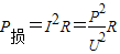
【答案】分析:输送电功率P=UI,根据
或
可得出输电线上损失的电功率与什么因素有关.
解答:解:P=UI,则
.输电线上损失的功率
,与输送电压的平方成反比.根据
知,与输电线上电压降的平方成正比.故③和④正确.即B正确,A、C、D错误.
故选B.
点评:解决本题的关键知道输送电功率P=UI,以及掌握
或
.
解答:解:P=UI,则
故选B.
点评:解决本题的关键知道输送电功率P=UI,以及掌握
练习册系列答案
相关题目
在电能的输送过程中,若输送的电功率一定、输电线电阻一定时,对于在输电线上损失的电功率,有如下四种判断,其中正确的是( )
| A、和输送电线上电压降的平方成反比 | B、和输送电压的平方成反比 | C、和输送电线上电压降的平方成正比 | D、和输送电压的平方成正比 |
在电能的输送过程中,若输送的电功率一定、输电线电阻一定时,对于在输电线上损失的电功率,有如下四种判断,其中正确的是
| A.和输送电线上电压降的平方成反比 | B.和输送电压的平方成正比 |
| C.和输送电线上电压降的平方成正比 | D.和输送电压的平方成正比 |