题目内容
一辆值勤的警车停在公路边,当警员发现从他旁边以10m/s的速度匀速行驶的货车严重超载时,决定前去追赶,经过5.5s后警车发动起来,并以2.5m/s2的加速度做匀加速运动,但警车的行驶速度必须控制在90km/h 以内.问:(1)警车在追赶货车的过程中,两车间的最大距离是多少?
(2)判定警车在加速阶段能否追上货车?(要求通过计算说明)
(3)警车发动后要多长时间才能追上货车?
【答案】分析:(1)当警车速度等于货车速度时,两车间的距离最大;
分别求出两车的路程,然后求出两车间的最大距离.
(2)求出警车达到最大速度时,警车与货车的路程,根据两车路程间的关系判断警车能否追上货车.
(3)警车追上货车时,两车的路程相等,由速度公式的变形公式求出警车追上货车的时间.
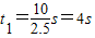
解答:解:(l)警车在追赶货车的过程中,当两车速度相等时.它们的距离最大,设警车发动后经过t1时间两车的速度相等.
则
s货=(5.5+4)×10m=95m s警=
所以两车间的最大距离△s=s货-s警=75m
s货′=(5.5+10)×10m=155m s警′=
因为s货′>s警′,故此时警车尚未赶上货车
(3)警车刚达到最大速度时两车距离△s′=s货′-s警′=30m,警车达到最大速度后做匀速运动,设再经过△t时间追赶上货车.
则:
所以警车发动后要经过t=t2+△t=12s才能追上货车
答:(1)警车在追赶货车的过程中,两车间的最大距离是75m.
(2)警车在加速阶段不能追上货车.
(3)警车发动后要12s才能追上货车.
点评:本题是一道追击问题,分析清楚车的运动过程,找出两车距离最大及追上的条件,熟练应用速度公式的变形公式、路程公式可以正确解题,本题难度较大,是一道难题.
分别求出两车的路程,然后求出两车间的最大距离.
(2)求出警车达到最大速度时,警车与货车的路程,根据两车路程间的关系判断警车能否追上货车.
(3)警车追上货车时,两车的路程相等,由速度公式的变形公式求出警车追上货车的时间.
解答:解:(l)警车在追赶货车的过程中,当两车速度相等时.它们的距离最大,设警车发动后经过t1时间两车的速度相等.
则
所以两车间的最大距离△s=s货-s警=75m
s货′=(5.5+10)×10m=155m s警′=
因为s货′>s警′,故此时警车尚未赶上货车
(3)警车刚达到最大速度时两车距离△s′=s货′-s警′=30m,警车达到最大速度后做匀速运动,设再经过△t时间追赶上货车.
则:
所以警车发动后要经过t=t2+△t=12s才能追上货车
答:(1)警车在追赶货车的过程中,两车间的最大距离是75m.
(2)警车在加速阶段不能追上货车.
(3)警车发动后要12s才能追上货车.
点评:本题是一道追击问题,分析清楚车的运动过程,找出两车距离最大及追上的条件,熟练应用速度公式的变形公式、路程公式可以正确解题,本题难度较大,是一道难题.
练习册系列答案
相关题目