题目内容

制备纳米薄膜装置的工作电极可简化为真空中间距为d的两平行极板,如图甲所示,加在极板A、B间的电压UAB作周期性变化,其正向电压为U0,反向电压为-KU0(K>1),电压变化的周期为2r,如图乙所示.在t=0时,极板B附近的一个电子,质量为m、电荷量为e,受电场作用由静止开始运动.若整个运动过程中,电子未碰到极板A,且不考虑重力作用.

(1)若k=,电子在0-2r时间内不能到达极板A,求d应满足的条件;

(2)若电子在0~200t时间内未碰到极板B,求此运动过程中电子速度v随时间t变化的关系;

(3)若电子在第N个周期内的位移为零,求k的值.

答案:
解析:

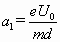
  (1)电子在0~t时间内做匀加速运动

  加速度的大小  ①

  位移  ②

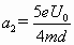
  在t~2t时间内先做匀减速运动,后反向做匀加速运动

  加速度的大小  ③

  初速度的大小v1=a1t  ④

  匀减速运动阶段的位移  ⑤

  依据题意d>x1+x2 解得  ⑥

  

  (3)电子在2(N-1)t~(2N-1)t时间内的位移x2N-1=x2N-2

  电子在(2N-1)t~2Nt时间内的位移

  由⑩式可知

  由(12)式可知

  依据题意x2N-1+x2N=0

  解得:


练习册系列答案
相关题目

违法和不良信息举报电话:027-86699610 举报邮箱:58377363@163.com

精英家教网