题目内容
同步卫星离地球球心距离为
,加速度为
,运行速率为
;地球赤道上物体随地球自转的向心加速度为
,运行速率为
,地球半径为
。则
A.
B.
C.
D.![]()
【答案】
A
【解析】
试题分析:同步卫星的角速度和赤道上的物体的角速度都与地球自转的角速度相同,则由
得,
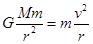
,故A正确、B错误。第一宇宙速度等于近地卫星的运行速度,人造地球卫星绕地球做匀速圆周运动,由地球的万有引力提供向心力,设地球的质量为
,
是卫星的轨道半径,则得
,则有
,则得到
,故C错误、D错误。故选A。
考点:本题考查了人造卫星的加速度、周期和轨道的关系、万有引力定律及其应用。
练习册系列答案
相关题目
同步卫星离地球球心的距离为r,运行速率为v1,加速度大小为a1,地球赤道上的物体随地球自转的向心加速度大小为a2,第一宇宙速度为v2,地球半径为R,则( )
| A.a1:a2="r:R" | B.a1:a2=R2:r2 | C.v1:v2=R2:r2 | D. |