题目内容
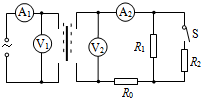
图中是通过变压器降压给用户供电的示意图。变压器输入电压是市区电网的电压,负载变化时输入电压不会有大的波动。输出电压通过输电线输送给用户,输电线的电阻用R0表示,开关S闭合后,相当于接入电路中工作的用电器增加。如果变压器上的能量损失可以忽略,则关于开关S闭合后,以下说法正确的是
![]()
A.电表V1示数不变,V2示数减小
B.电表A1、A2示数均增大
C.原线圈输入功率减小
D.电阻R1两端的电压减小
【答案】
BD
【解析】
试题分析:理想变压器原线圈输入电压
不变,根据
可知副线圈电压不变,即电压表
示数不变,选项A错。开关闭合后副线圈总电阻R变小,而电压
不变,所以电流表
示数变大,根据
可得理想变压器原线圈电流
变大,即电流表示数
变大,选项B对。副线圈消耗的电功率
随电阻减小而变大,根据理想变压器能量守恒,输入电压等于输出电压即副线圈电压,所以原线圈输入功率变大,选项C错。副线圈相当于一个闭合回路,开关闭合后副线圈电阻变小电流变大,定值电阻
的端电压变大,并联电路电压变小,电阻R1两端的电压减小选项D对。
考点:理想变压器
练习册系列答案
相关题目
| A、电表V1示数不变,V2示数减小 | B、电表A1、A2示数均增大 | C、原线圈输入功率减小 | D、电阻R1两端的电压减小 |
如图6是街头变压器通过降压给用户供电的示意图。变压器输入电压是市电网的电压,可以认为不变。输出电压通过输电线输送给用户,输电线的电阻用R0表示,变阻器R表示用户用电器的总电阻,当滑动变阻器触头P向下移动时,下列说法中正确的是( ) ![]()
| A.相当于在增加用电器的数目 |
| B.A1表的示数随A2表的示数的增大而增大 |
| C.V1表的示数随V2表的示数的增大而增大 |
| D.变压器的输入功率在增大 |