题目内容
如图所示,长木板A上右端有一物块B,它们一起在光滑的水平面上向左做匀速运动,速度v=2.0m/s.木板左侧有一个与木板A等高的固定物体C.已知长木板A的质量为mA=1.0kg,物块B的质量为mB=3.0kg,物块B与木板A间的动摩擦因数μ=0.5,取g=10m/s2.(1)若木板A足够长,A与C第一次碰撞后,A立即与C粘在一起,求物块B在木板A上滑行的距离是多少;
(2)若木板A足够长,A与C发生碰撞后弹回(碰撞时间极短,没有机械能损失),求第一次碰撞后A、B具有共同运动的速度.
【答案】分析:(1)A与C碰后停止,B在A上一直减速为零,根据动能定理可正确求解.
(2)A与C碰后原速返回,A与B作用过程中动量守恒,最后A、B达到共同速度,一起匀速运动,根据动量守恒列方程可正确解答.
解答:解:(1)A与C碰撞后速度即变为0,而B将继续运动,受摩擦力作用,速度由v减到0,由动能定理:

解得:L=0.40m.
故物块B在木板A上滑行的距离为:L=0.40m.
(2)A与C发生弹性碰撞后,速度大小仍为v,方向相反,以A、B为研究对象,设A、B有共同的速度v,水平方向不受外力作用,系统动量守恒,设向左为正,有:
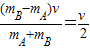
mBv-mAv=(mA+mB)v
所以:v=
=1 m/s,方向水平向左.
故第一次碰撞后A、B具有共同运动的速度为1m/s,方向水平向左.
点评:本题比较简单考查了动能定理和动量守恒的简单应用,注意运动过程的分析.
(2)A与C碰后原速返回,A与B作用过程中动量守恒,最后A、B达到共同速度,一起匀速运动,根据动量守恒列方程可正确解答.
解答:解:(1)A与C碰撞后速度即变为0,而B将继续运动,受摩擦力作用,速度由v减到0,由动能定理:
解得:L=0.40m.
故物块B在木板A上滑行的距离为:L=0.40m.
(2)A与C发生弹性碰撞后,速度大小仍为v,方向相反,以A、B为研究对象,设A、B有共同的速度v,水平方向不受外力作用,系统动量守恒,设向左为正,有:
mBv-mAv=(mA+mB)v
所以:v=
故第一次碰撞后A、B具有共同运动的速度为1m/s,方向水平向左.
点评:本题比较简单考查了动能定理和动量守恒的简单应用,注意运动过程的分析.
练习册系列答案
相关题目