ÌâÄ¿ÄÚÈÝ
ÈçͼËùʾµÄ×ø±êÆ½ÃæÄÚ£¬ÔÚyÖáµÄ×ó²à´æÔÚ´¹Ö±Ö½ÃæÏòÍâ¡¢´Å¸ÐӦǿ¶È´óСB1=0.20TµÄÔÈÇ¿´Å³¡£¬ÔÚyÖáµÄÓÒ²à´æÔÚ´¹Ö±Ö½ÃæÏòÀï¡¢¿í¶Èd=0.125mµÄÔÈÇ¿´Å³¡B2£®Ä³Ê±¿ÌÒ»ÖÊÁ¿m=2.0×10-8kg¡¢µçÁ¿q=+4.0×10-4CµÄ´øµç΢Á££¨ÖØÁ¦¿ÉºöÂÔ²»¼Æ£©£¬´ÓxÖáÉÏ×ø±êΪ£¨-0.25m£¬0£©µÄPµãÒÔËÙ¶Èv=2.0×103 m/sÑØyÖáÕý·½ÏòÔ˶¯£®ÊÔÇ󣺣¨1£©Î¢Á£ÔÚyÖáµÄ×ó²à´Å³¡ÖÐÔ˶¯µÄ¹ìµÀ°ë¾¶£»
£¨2£©Î¢Á£µÚÒ»´Î¾¹ýyÖáʱËÙ¶È·½ÏòÓëyÖáÕý·½ÏòµÄ¼Ð½Ç£»
£¨3£©ÒªÊ¹Î¢Á£²»ÄÜ´ÓÓÒ²à´Å³¡±ß½ç·É³ö£¬B2Ó¦Âú×ãµÄÌõ¼þ£®
¡¾´ð°¸¡¿·ÖÎö£º£¨1£©ÓÉͼ¿É֪΢Á£µÄת¶¯°ë¾¶£¬ÔòÓÉÅ£¶ÙµÚ¶þ¶¨ÂÉ¿ÉÇóµÃ°ë¾¶£»
£¨2£©¸ù¾ÝÌâÒâ×÷³öÁ£×ÓµÄÔ˶¯¹ì¼££¬ÔòÓɼ¸ºÎ¹ØÏµ¿ÉµÃ³ö΢Á£µÚÒ»´Î¾¹ýyÖáʱËÙ¶È·½ÏòÓëyÖáÕý·½ÏòµÄ¼Ð½Ç£»
£¨3£©ÒªÊ¹Á£×Ó²»·É³ö´Å³¡£¬ÔòÈçͼ¿ÉÖªÁ£×ÓÔ˶¯µÄÁÙ½çֵΪÓë±ß½çÏàÇУ¬ÔòÓɼ¸ºÎ¹ØÏµ¿ÉµÃ³ö´Å¸ÐӦǿ¶ÈµÄ·¶Î§£®
½â´ð£º
½â£º£¨1£©Éè΢Á£ÔÚyÖá×ó²à×öÔÈËÙÔ²ÖÜÔ˶¯µÄ°ë¾¶Îªr1£¬×ª¹ýµÄÔ²ÐĽÇΪ¦È
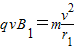
ÓÉÅ£¶ÙµÚ¶þ¶¨ÂÉ¿ÉÖª
´úÈëÊý¾ÝµÃ r1=0.5m
£¨2£©Á£×ÓÔڴų¡ÖÐÔ˶¯µÄ¹ì¼£Èçͼ£» Óɼ¸ºÎ¹ØÏµµÃ

Ôò¦È=60°
£¨3£©ÉèÁ£×ÓÇ¡ºÃ²»·É³öÓÒ²à´Å³¡Ê±£¬´Å¸ÐӦǿ¶ÈΪB£¬Ô˶¯°ë¾¶Îªr2£¬ÆäÔ˶¯¹ì¼£Èçͼ Óм¸ºÎ¹ØÏµµÃ r2cos¦È=r2-dr2=0.25m
ÓÉ
µÃ B=0.4T
ËùÒԴų¡Âú×ãB¡Ý0.4T
´ð£º£¨1£©¹ìµÀ°ë¾¶·¢Îª0.5m£» £¨2£©½Ç¶ÈΪ60°£» £¨3£©´Å¸ÐӦǿ¶ÈÓ¦´óÓÚµÈÓÚ0.4T£®
µãÆÀ£º´øµçÁ£×ÓÔڴų¡ÖеÄÔ˶¯ÌâÄ¿£¬ÔÚÓ¦ÓÃÒ»Ð©ÌØÊâ¹æÂɽâÌâʱ£¬Ò»¶¨ÒªÃ÷È·¹æÂÉÊÊÓõÄÌõ¼þ£¬×¼È·µØ»³ö¹ì¼£Êǹؼü£®
£¨2£©¸ù¾ÝÌâÒâ×÷³öÁ£×ÓµÄÔ˶¯¹ì¼££¬ÔòÓɼ¸ºÎ¹ØÏµ¿ÉµÃ³ö΢Á£µÚÒ»´Î¾¹ýyÖáʱËÙ¶È·½ÏòÓëyÖáÕý·½ÏòµÄ¼Ð½Ç£»
£¨3£©ÒªÊ¹Á£×Ó²»·É³ö´Å³¡£¬ÔòÈçͼ¿ÉÖªÁ£×ÓÔ˶¯µÄÁÙ½çֵΪÓë±ß½çÏàÇУ¬ÔòÓɼ¸ºÎ¹ØÏµ¿ÉµÃ³ö´Å¸ÐӦǿ¶ÈµÄ·¶Î§£®
½â´ð£º
ÓÉÅ£¶ÙµÚ¶þ¶¨ÂÉ¿ÉÖª
´úÈëÊý¾ÝµÃ r1=0.5m
£¨2£©Á£×ÓÔڴų¡ÖÐÔ˶¯µÄ¹ì¼£Èçͼ£» Óɼ¸ºÎ¹ØÏµµÃ
Ôò¦È=60°
£¨3£©ÉèÁ£×ÓÇ¡ºÃ²»·É³öÓÒ²à´Å³¡Ê±£¬´Å¸ÐӦǿ¶ÈΪB£¬Ô˶¯°ë¾¶Îªr2£¬ÆäÔ˶¯¹ì¼£Èçͼ Óм¸ºÎ¹ØÏµµÃ r2cos¦È=r2-dr2=0.25m
ÓÉ
ËùÒԴų¡Âú×ãB¡Ý0.4T
´ð£º£¨1£©¹ìµÀ°ë¾¶·¢Îª0.5m£» £¨2£©½Ç¶ÈΪ60°£» £¨3£©´Å¸ÐӦǿ¶ÈÓ¦´óÓÚµÈÓÚ0.4T£®
µãÆÀ£º´øµçÁ£×ÓÔڴų¡ÖеÄÔ˶¯ÌâÄ¿£¬ÔÚÓ¦ÓÃÒ»Ð©ÌØÊâ¹æÂɽâÌâʱ£¬Ò»¶¨ÒªÃ÷È·¹æÂÉÊÊÓõÄÌõ¼þ£¬×¼È·µØ»³ö¹ì¼£Êǹؼü£®
Á·Ï°²áϵÁдð°¸
Ïà¹ØÌâÄ¿