题目内容
如图,简单谐横波在t时刻的波形如实线所示,经过△t=3s,其波形如虚线所示.已知图中x1与x2相距1m,波的周期为T,且2T<△t<4T.则可能的最小波速为 m/s,最小周期为 s.
【答案】分析:分波向左传播和向右传播两种情况讨论;先求出位移,再求解波速和对应的周期.
解答:解:由图象可以看出,波长为:2λ=14m,故λ=7m;
2T<△t<4T,故波传播的距离:2λ<△x<4λ;
①波向右传播,△x=15m或22m;
波速为
或
m/s;
周期为:
或
s;
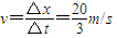
②波向左传播,△x=20m或27m
波速为
或9m/s;
周期为:
或
s;
故答案为:5,
.
点评:本题关键分情况讨论,求解出各种可能的波速和周期,然后取最小值.
解答:解:由图象可以看出,波长为:2λ=14m,故λ=7m;
2T<△t<4T,故波传播的距离:2λ<△x<4λ;
①波向右传播,△x=15m或22m;
波速为
周期为:
②波向左传播,△x=20m或27m
波速为
周期为:
故答案为:5,
点评:本题关键分情况讨论,求解出各种可能的波速和周期,然后取最小值.
练习册系列答案
相关题目