题目内容

在做“研究匀变速直线运动”的实验时,为了达到实验的目的,除了有打点计时器、纸带、小车、钩码、细绳、一端附有滑轮的长木板外,还需要的仪器是         。得到一条纸带如图所示. 每隔4个点取1个计数点,A、B、C、D、E、F、G为计数点, x1 =1.20cm, x 2 =1.60cm, x 3 =1.98cm, x 4 =2.38cm,  x 5 =2.79cm,  x 6 =3.18cm.

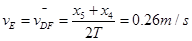
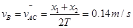
①计算运动物体在B、E两点的瞬时速度. vB=      m/s, vE=      m/s。

②在上图中作出v-t图象

③试计算运动物体的加速度a=       m/s2

(计算时保留两位有效数字)

 

【答案】

交流电源 、刻度尺,(2分)

vB= 0.14 m/s(2分), vE= 0.26 m/s(2分)

a= 0.40 m/s2(2分)(图2分)

【解析】

试题分析:(1)该实验要使打点计时器工作,需要交流电源,测量计数点距离需要刻度尺。由于每个4个点取一个计数点,相邻计数点时间间隔为T=0.1s,则B点的瞬时速度等于AC段的平均速度,为:,同理。(2)计算各点瞬时速度,描点连线,得出一条过原点倾斜直线,如上图所示。(3)小车运动的加速度用逐差法进行计算,经过计算整理得到:

考点:本题考查打点计时器测量加速度。

 

练习册系列答案
相关题目

违法和不良信息举报电话:027-86699610 举报邮箱:58377363@163.com

精英家教网