题目内容
已知地球半径为R,地球表面的重力加速度为g,一颗人造地球卫星离地面高度为h,求:(1)地球的第一宇宙速度;
(2)这颗人造地球卫星的正常运行时的向心加速度;
(3)这颗人造地球卫星的运行速度.
【答案】分析:第一宇宙速度是卫星近地轨道上做圆周运动的线速度,根据万有引力提供向心力展开讨论即可.
解答:解:(1)在地球表面,重力提供卫星运动的万有引力所以有:
mg=
得:v=
;
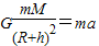
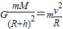
(2)在地球表面重力等于万有引力,卫星运动时万有引力提供向心力故有:
①
②
③
由①和②得:
a=
(3)由①和③式得:
v=
答:(1)地球的第一宇宙速度
;
(2)这颗人造地球卫星的正常运行时的向心加速度a=
;
(3)这颗人造地球卫星的运行速度v=
.
点评:熟练掌握在地球表面重力等于万有引力,卫星绕地球圆周运动的向心力由万有引力提供,第一宇宙速度是近地轨道圆周运动的线速度.
解答:解:(1)在地球表面,重力提供卫星运动的万有引力所以有:
mg=
(2)在地球表面重力等于万有引力,卫星运动时万有引力提供向心力故有:
由①和②得:
a=
(3)由①和③式得:
v=
答:(1)地球的第一宇宙速度
(2)这颗人造地球卫星的正常运行时的向心加速度a=
(3)这颗人造地球卫星的运行速度v=
点评:熟练掌握在地球表面重力等于万有引力,卫星绕地球圆周运动的向心力由万有引力提供,第一宇宙速度是近地轨道圆周运动的线速度.
练习册系列答案
相关题目