题目内容

如下图所示,竖直圆筒内壁光滑,半径为R,顶部有入口A,在A正下方h处有出口B,一质量为m的小球从入口A处,沿切线方向水平射入圆筒中,要使球从B处飞出,小球射入A的速度v0应满足什么条件?运动中球对筒的压力多大?

答案:
解析:

  小球在水平方向作匀速圆周运动,竖直方向作自由落体运动,在B点飞出,有

      n·2πR=v0t

      h=gt2

解得    v0=nπR

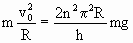
  由牛顿第二定律有

      FN


练习册系列答案
相关题目

违法和不良信息举报电话:027-86699610 举报邮箱:58377363@163.com

精英家教网