题目内容
据报道,美国航空航天管理局计划在2008年10月发射月球勘侧轨道器(LRO).若以T表示LRO在离月球表面高h处的轨道上做匀速圆周运动的周期,以R表示月球的半径,求:(1)LRO运行时的向心加速度a;
(2)月球表面的重力加速度g月.
【答案】分析:根据圆周运动公式a=r(
)2求向心加速度.
根据万有引力提供向心力和万有引力等于重力求月球表面重力加速度
解答:解:(1)向心加速度a=r(
)2,其中r为匀速圆周运动的轨道半径.
所以LRO运行时的向心加速度为
,
(2)根据万有引力提供向心力得:
=m
①
根据万有引力等于重力得:
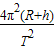
=mg ②
解得:月球表面的重力加速度g=
.
答:(1)LRO运行时的向心加速度是
;
(2)月球表面的重力加速度是
.
点评:万有引力与航天类的题目把握两点:(1)物体在星球上或在星球附近利用万有引力等于重力求解;(2)物体围绕星球做圆周运动,利用万有引力提供向心力求解.
根据万有引力提供向心力和万有引力等于重力求月球表面重力加速度
解答:解:(1)向心加速度a=r(
所以LRO运行时的向心加速度为
(2)根据万有引力提供向心力得:
根据万有引力等于重力得:
解得:月球表面的重力加速度g=
答:(1)LRO运行时的向心加速度是
(2)月球表面的重力加速度是
点评:万有引力与航天类的题目把握两点:(1)物体在星球上或在星球附近利用万有引力等于重力求解;(2)物体围绕星球做圆周运动,利用万有引力提供向心力求解.
练习册系列答案
相关题目