ÌâÄ¿ÄÚÈÝ
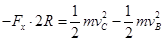
£¨10·Ö£©ÈçͼËùʾ£¬¹â»¬¾øÔµµÄϸԲ¹ÜÍä³É°ë¾¶ÎªRµÄ°ëÔ²ÐΣ¬¹Ì¶¨ÔÚÊúÖ±ÃæÄÚ¡¢¹Ü¿ÚB¡¢CµÄÁ¬ÏßÊÇˮƽֱ¾¶£¬ÏÖÓÐÒ»´øÕýµçСÇò£¨¿ÉÊÓΪÖʵ㣩´ÓBµãÕýÉÏ·½µÄAµã×ÔÓÉÏÂÂ䣬A¡¢BÁ½µã¼ä¾àÀëΪ4R£¬´ÓСÇò½øÈë¹Ü¿Ú¿ªÊ¼£¬Õû¸ö¿Õ¼äÖÐͻȻ¼ÓÉÏÒ»¸öÔÈÇ¿µç³¡£¬µç³¡Á¦ÔÚÊúÖ±·½ÏòµÄ·ÖÁ¦ÓëÖØÁ¦´óСÏàµÈ¡¢·½ÏòÏà·´£¬½á¹ûСÇò´Ó¹Ü¿ÚC´¦ÍÑÀëÔ²¹Üºó£¬ÆäÔ˶¯¹ì¼£¾¹ýAµã£¬ÉèСÇòÔÚÔ˶¯¹ý³ÌÖеçºÉÁ¿²»±ä£¬ÖØÁ¦¼ÓËÙ¶ÈΪg£®Çó£º
![]()
(1)СÇòµ½´ïBµãµÄËÙ¶È´óС£»
(2)СÇòÊܵ½µÄµç³¡Á¦µÄ´óСºÍ·½Ïò£»
(3)СÇò¾¹ý¹Ü¿ÚC´¦Ê±¶ÔÔ²¹Ü±ÚµÄѹÁ¦£®
£¨1£©
£¨2£©
£¬·½ÏòбÏò×óÉÏ·½Óëˮƽ·½Ïò¼Ð½Ç450 £¨3£©
£¬·½ÏòˮƽÏòÓÒ
¡¾½âÎö¡¿
ÊÔÌâ·ÖÎö£º£¨1£©Ð¡Çò´Ó¿ªÊ¼×ÔÓÉÏÂÂäµ½µ½´ï¹Ü¿ÚBµÄ¹ý³ÌÖлúеÄÜÊØºã£¬¹ÊÓУº
СÇòµ½´ïBµãʱµÄËÙ¶È´óСΪ![]()
£¨2£©Éèµç³¡Á¦µÄˮƽ·ÖÁ¦Îª
£¨·½ÏòˮƽÏò×󣩣¬ÊúÖ±·ÖÁ¦Îª
£¨·½ÏòˮƽÏòÉÏ£©£¬Ôò![]()
СÇò´ÓBÔ˶¯µ½CµÄ¹ý³ÌÖУ¬Óɶ¯Äܶ¨ÀíµÃ£º![]()
СÇò´Ó¹Ü¿ÚC´¦ÍÑÀëÔ²¹Üºó£¬×öÀàÆ½Å×Ô˶¯£¬ÓÉÓÚÆä¹ì¼£¾¹ýAµã£¬ÓÐ:
![]()
![]()
ÁªÁ¢ÒÔÉϸ÷ʽ£¬½âµÃ£º![]()
µç³¡Á¦µÄ´óСΪ£º
£¬·½ÏòбÏò×óÉÏ·½Óëˮƽ·½Ïò¼Ð½Ç450£®
£¨3£©Ð¡Çò¾¹ý¹Ü¿ÚC´¦Ê±£¬ÏòÐÄÁ¦ÓÉ
ºÍÔ²¹ÜµÄµ¯Á¦
Ìṩ£¬É赯Á¦
µÄ·½ÏòÏò×ó£¬Ôò
![]()
½âµÃ£º
£¬·½ÏòÏò×ó
¸ù¾ÝÅ£¶ÙµÚÈý¶¨ÂÉ¿ÉÖª£¬Ð¡Çò¾¹ý¹Ü¿ÚC´¦Ê±¶ÔÔ²¹ÜµÄѹÁ¦Îª£º
£¬·½ÏòˮƽÏòÓÒ¡£
¿¼µã£º»úеÄÜÊØºã¶¨ÂÉ£¬Å£¶ÙµÚ¶þ¡¢µÚÈý¶¨ÂÉ£¬¶¯Äܶ¨ÀíµÄÓ¦ÓÃ
| A¡¢Ïß¿òÓÐÒ»½×¶ÎÔÚ×öÔȼÓËÙÔ˶¯ | B¡¢Ïß¿òab±ßÔÚ¸Õ½øÈë´Å³¡Ê±¿ÉÄÜ×ö¼ÓËÙÔ˶¯ | C¡¢Ïß¿òab±ßÔÚ¸Õ´©³ö´Å³¡Ê±Ò»¶¨ÊÇÏÈ×ö¼õËÙÔ˶¯ | D¡¢Ïß¿òÖвúÉúµÄÈÈÁ¿ÎªF£¨d+S+L£© |