题目内容

(9分)普朗克常量h=6.63×1034 J·s,铝的逸出功W0=6.72×1019 J,现用波长λ=200 nm的光照射铝的表面(结果保留三位有效数字).

①求光电子的最大初动能;

②若射出的一个具有最大初动能的光电子正对一个距离足够远且静止的电子运动,求在此运动过程中两电子电势能增加的最大值(除两电子间的相互作用以外的力均不计)。

 

【答案】

(1)     (2)1.62×10-19J

【解析】

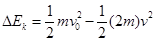
试题分析:(1)由 和   得

(2)增加的电势能来自系统损失的动能,当两电子的速度相等时电势能最大,由动量守恒定律    和     

得:

所以增加的电势能最大值为1.62×10-19J

考点: 动量守恒

 

练习册系列答案
相关题目

违法和不良信息举报电话:027-86699610 举报邮箱:58377363@163.com

精英家教网