题目内容
地球同步卫星到地心的距离r可由
求出.已知式中a的单位是m,b的单位是s,c的单位是
,则
[ ]
A.a是赤道周长,b是地球自转的周期,c是地球表面处的重力加速度
B.a是赤道周长,b是同步卫星绕地心运动的周期,c是同步卫星的加速度
C.a是地球半径,b是地球自转的周期,c是同步卫星的加速度
D.a是地球半径,b是同步卫星绕地心运动的周期,c是地球表面处的重力加速度
答案:AD
解析:
解析:
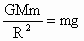
|
题目给出 r的表达式,四种说法不能直接判断是否正确.但由万有引力提供同步卫星的向心力可得: |
练习册系列答案
相关题目
地球同步卫星到地心的距离r可由r3=
求出,已知式中a的单位是m,b的单位是s,c的单位是m/s2,则( )
| a2b2c |
| 4π2 |
| A、a是地球半径,b是地球自转的周期,c是地球表面处的重力加速度 |
| B、a是地球半径,b是同步卫星绕地心运动的周期,c是同步卫星的加速度 |
| C、a是赤道周长,b是地球自转周期,c是同步卫星的车速度 |
| D、a是地球半径,b是同步卫星绕地心运动的周期,c是地球表面处的重力加速度 |