题目内容
原子从a能级状态跃迁到b能级状态时发射波长为λ1的光子;原子从b能级状态跃迁到c能级状态时吸收波长为λ2的光子,已知λ1>λ2.原子从a能级状态跃迁到c能级状态时 (填“吸收”或“辐射”)波长为 的光子.
【答案】分析:明确原子能级跃迁过程中产生或吸收光子能量与光子波长、频率之间关系.原子从高能级向基态跃迁放出能量,反之吸收能量.比较能级高低能级间能量关系列式求解.
解答:解:原子从a能级状态跃迁到b能级状态时发射波长为λ1的光子;原子从b能级状态跃迁到c能级状态时吸收波长为λ2的光子,已知λ1>λ2;

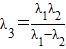
故:bc能级之间能量等于ac能级与ab能级之间能量之和,即有:
,故从a能级状态跃迁到c能级状态时将要吸收波长为:
点评:明确原子能级跃迁过程中产生或吸收光子能量与光子波长、频率之间关系,列式求解即可.
解答:解:原子从a能级状态跃迁到b能级状态时发射波长为λ1的光子;原子从b能级状态跃迁到c能级状态时吸收波长为λ2的光子,已知λ1>λ2;
故:bc能级之间能量等于ac能级与ab能级之间能量之和,即有:
点评:明确原子能级跃迁过程中产生或吸收光子能量与光子波长、频率之间关系,列式求解即可.
练习册系列答案
相关题目