题目内容
已知下面的哪组数据,可以算出地球的质量M地(引力常量G为已知)( )A.月球绕地球运动的周期T及月球到地球中心的距离R1
B.地球绕太阳运行周期T2及地球到太阳中心的距离R2
C.人造卫星在地面附近的运行速度v3和运行周期T3
D.地球绕太阳运行的速度v4及地球到太阳中心的距离R4
【答案】分析:万有引力的应用之一就是计算中心天体的质量,计算原理就是万有引力提供球绕天体圆周运动的向心力,列式只能计算中心天体的质量.
解答:解:A、月球绕地球做圆周运动,地球对月球的万有引力提供圆周运动的向心力,列式如下:
可得:地球质量M=
,故A正确;
B、地球绕太阳做圆周运动,太阳对地球的万有引力提供地球做圆周运动向心力,列式如下:
可知,m为地球质量,在等式两边刚好消去,故不能算得地球质量,故B错;
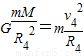
C、人造地球卫星绕地球做圆周运动,地球对卫星的万有引力提供卫星做圆周运动的向心力,列式有:
,可得地球质量M=
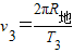
,根据卫星线速度的定义可知
得
代入M=
可得地球质量,故C正确;
D、地球绕太阳做圆周运动,太阳对地球的万有引力提供地球做圆周运动向心力,列式如下:
可知,m为地球质量,在等式两边刚好消去,故不能算得地球质量,故D错.
故选AC.
点评:万有引力提供向心力,根据数据列式可求解中心天体的质量,注意向心力的表达式需跟已知量相一致.
解答:解:A、月球绕地球做圆周运动,地球对月球的万有引力提供圆周运动的向心力,列式如下:
B、地球绕太阳做圆周运动,太阳对地球的万有引力提供地球做圆周运动向心力,列式如下:
C、人造地球卫星绕地球做圆周运动,地球对卫星的万有引力提供卫星做圆周运动的向心力,列式有:
D、地球绕太阳做圆周运动,太阳对地球的万有引力提供地球做圆周运动向心力,列式如下:
故选AC.
点评:万有引力提供向心力,根据数据列式可求解中心天体的质量,注意向心力的表达式需跟已知量相一致.
练习册系列答案
相关题目