题目内容
如图所示,匀强电场区域和匀强磁场区域是紧邻的且宽度相等均为d,电场方向在纸平面内,而磁场方向垂直纸面向里.一带正电粒子从O点以速度v0沿垂直电场方向进入电场.在电场力的作用下发生偏转,从A点离开电场进入磁场,离开电场时带电粒子在电场方向的偏移量为
d,当粒子从C点穿出磁场时速度方向与进入电场O点时的速度方向一致,不计带电粒子的重力,求:
(1)粒子从C点穿出磁场时的速度v.
(2)电场强度和磁感应强度的比值
.
答案:
解析:
解析:
|
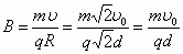
解:(1)粒子在电场中做类平抛运动,则 水平: 解得vy=v0速度偏转角: 所以飞出电场时的速度: 粒子在磁场中做匀速圆周运动,洛伦兹力不做功,所以穿出磁场时的速度大小为: 粒子在电场中运动: 粒子在磁场中运动轨迹如图所示:由几何关系,得
粒子做匀速圆周运动: (1)、(2)联立,解得 |
练习册系列答案
相关题目
| 2μmg |
| q |
| A、适当选取初速度v0,小物块有可能静止在电场区内 | ||
| B、无论怎样选择初速度v0,小物块都不可能静止在电场区内 | ||
C、要使小物块穿过电场区域,初速度v0的大小应大于2
| ||
| D、若小物块能穿过电场区域,小物块在穿过电场区的过程中,机械能减少3μmgL |