题目内容

如图所示,质量分别为m和2m的两物体A、B叠放在一起,放在光滑的水平地面上,已知A、B间的最大摩擦力为A物体重力的μ倍,当用水平力分别作用在A或B上,使A、B保持相对静止做加速运动,则作用于A、B上的最大拉力之比为多少?

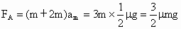
答案:1:2
解析:

作用于A上时,B所受最大摩擦力为μmg,得B最大加速度,由于AB相对静止,故外力大小,当作用于B上时,A所受最大摩擦力为μmg,得A的最大加速度.同理得,所以

F作用在A上时,AB的摩擦力提供了B的加速度,力F作用于B上时,BA的摩擦力提供了A的加速度,摩擦力所提供的加速度是有区别的.


练习册系列答案
相关题目

违法和不良信息举报电话:027-86699610 举报邮箱:58377363@163.com

精英家教网