题目内容

如图所示,由板长,板间距离的平行板电容器和线圈组成一振荡电路,电源电动势.设有荷质比为∶1的带电粒子(不计重力),沿电容器中心轴线飞入,当开关S在1处时,粒子恰好从电容器的下极板的边缘飞出;当开关S接到2处时,飞入电容器的粒子是否能飞出.若不能,粒子将打在极板何处?若能,求粒子飞出时的速度?

答案:略
解析:

解析:S1处时,粒子在电容器中,沿水平方向做匀速直线运动,竖直方向做初速度为零的匀加速直线运动,由可得

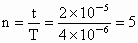
S接到2处时,电容器内形成按余弦规律变化的振荡电场,周期为

接到2处时,电容器内电场仍竖直向上,粒子在第一个内加速向下运动,在第二个内减速向下运动,前半个周期内,粒子的末速度为零,平均加速度,运动的时间,故位移,粒子不会打到下极板上.在第三个内,粒子加速向上运动,在第四个内又减速向上运动.在后半个周期内,粒子的末速度仍为零,经过一个周期,粒子又回到两板中央.

不论电容器内电场如何变化,粒子在水平方向不受电场力作用,水平速度不变,所以粒子在电场中运动时间仍为,在这一时间内,电场作周期性变化的次数为()

所以粒子离开电容器时,竖直速度为零,水平速度不变,,从两极板中央飞出.


练习册系列答案
相关题目

违法和不良信息举报电话:027-86699610 举报邮箱:58377363@163.com

精英家教网