题目内容

如图,绝热气缸A与导热气缸B均固定于地面,由刚性杆连接的绝热活塞与两气缸间均无摩擦.两气缸内装有处于平衡状态的理想气体,开始时体积均为V0、温度均为T0.缓慢加热A中气体,停止加热达到稳定后,A中气体压强为原来的1.2倍.设环境温度始终保持不变,求气缸A中气体的体积VA和温度TA

答案:
解析:

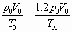
  设初态压强为p0,膨胀后A,B压强相等

    (1分)

  B中气体始末状态温度相等

    (3分)

  ∴  (1分)

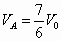
  A部分气体满足

    (4分)

  ∴  (1分)


练习册系列答案
相关题目

违法和不良信息举报电话:027-86699610 举报邮箱:58377363@163.com

精英家教网