ÌâÄ¿ÄÚÈÝ
ÈçͼËùʾ£¬ÖÊÁ¿Îª0.4kgµÄľ¿éÒÔ2m/sµÄËÙ¶ÈˮƽµØ»¬ÉϾ²Ö¹Ôڹ⻬ˮƽµØÃæÉÏµÄÆ½°åС³µ£¬³µµÄÖÊÁ¿Îª1.6kg£¬Ä¾¿éÓëС³µÖ®¼äµÄĦ²ÁϵÊýΪ0.2£¨gÈ¡10m/s2£©£®ÉèС³µ×ã¹»³¤£¬Ç󣺣¨1£©Ä¾¿éºÍС³µÏà¶Ô¾²Ö¹Ê±Ð¡³µµÄËÙ¶È´óС£®
£¨2£©´Óľ¿é»¬ÉÏС³µµ½ËüÃÇ´¦ÓÚÏà¶Ô¾²Ö¹Ëù¾ÀúµÄʱ¼ä£®
£¨3£©´Óľ¿é»¬ÉÏС³µµ½ËüÃÇ´¦ÓÚÏà¶Ô¾²Ö¹Ä¾¿éÔÚС³µÉÏ»¬ÐеľàÀ룮
¡¾´ð°¸¡¿·ÖÎö£º£¨1£©Ä¾¿éºÍС³µ×é³ÉµÄϵͳ£¬ËùÊܺÏÁ¦ÎªÁ㣬¶¯Á¿±£³Ö²»±ä£¬¸ù¾Ý¶¯Á¿Êغ㶨ÂÉÇó³ö£¬Ä¾¿éºÍС³µÏà¶Ô¾²Ö¹Ê±Ð¡³µµÄËÙ¶È´óС£®
£¨2£©ÒÔľ¿éΪÑо¿¶ÔÏ󣬸ù¾Ý¶¯Á¿¶¨ÀíÇó³öʱ¼ä£®
£¨3£©¸ù¾ÝÅ£¶ÙµÚ¶þ¶¨ÂÉ·ÖÎöÇó³öľ¿éºÍС³µµÄ¼ÓËÙ¶È£¬ÔÙÓÉÔ˶¯Ñ§¹«Ê½Çó³öÁ½ÎïÌåµÄÎ»ÒÆ¼°Ïà¶ÔÎ»ÒÆ´óС£®
½â´ð£º½â£º
£¨1£©ÒÔľ¿éºÍС³µÎªÑо¿¶ÔÏ󣬷½ÏòΪÕý·½Ïò£¬Óɶ¯Á¿Êغ㶨Âɿɵãº
mv=£¨M+m£©v
µÃv=
=0.4m/s
£¨2£©ÒÔľ¿éΪÑо¿¶ÔÏ󣬯äÊÜÁ¦Çé¿öÈçͼËùʾ£¬Óɶ¯Á¿¶¨Àí¿ÉµÃ
-ft=mv-mv
ÓÖf=¦Ìmg
µÃµ½
£¨3£©Ä¾¿é×öÔȼõËÙÔ˶¯£¬¼ÓËÙ¶Èa1=
=2m/s2
³µ×öÔȼÓËÙÔ˶¯£¬¼ÓËÙ¶Èa=
=0.5m/s2
ÓÉÔ˶¯Ñ§¹«Ê½¿ÉµÃ£ºvt2-v2=2as
Ôڴ˹ý³ÌÖÐľ¿éµÄÎ»ÒÆÎª
s1=
=0.96m
³µµÄÎ»ÒÆÎª
s2=
=0.16m
ľ¿éÔÚС³µÉÏ»¬ÐеľàÀëΪ¡÷S=S1-S2=0.8m
´ð£º
£¨1£©Ä¾¿éºÍС³µÏà¶Ô¾²Ö¹Ê±Ð¡³µµÄËÙ¶È´óСΪ0.4m/s£®
£¨2£©´Óľ¿é»¬ÉÏС³µµ½ËüÃÇ´¦ÓÚÏà¶Ô¾²Ö¹Ëù¾ÀúµÄʱ¼äÊÇ0.8s£®
£¨3£©´Óľ¿é»¬ÉÏС³µµ½ËüÃÇ´¦ÓÚÏà¶Ô¾²Ö¹Ä¾¿éÔÚС³µÉÏ»¬ÐеľàÀëÊÇ0.8m£®
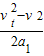
µãÆÀ£º±¾ÌâµÚ£¨3£©ÎÊÒ²¿ÉÒÔÕâÑùÇó½â£ºÄ¾¿éµÄÎ»ÒÆÎªs1=
=0.96m£¬³µµÄÎ»ÒÆÎªs2=
=0.16m£®ÔÙÇó½âľ¿éÔÚС³µÉÏ»¬ÐеľàÀëΪ¡÷S=S1-S2=0.8m£®
£¨2£©ÒÔľ¿éΪÑо¿¶ÔÏ󣬸ù¾Ý¶¯Á¿¶¨ÀíÇó³öʱ¼ä£®
£¨3£©¸ù¾ÝÅ£¶ÙµÚ¶þ¶¨ÂÉ·ÖÎöÇó³öľ¿éºÍС³µµÄ¼ÓËÙ¶È£¬ÔÙÓÉÔ˶¯Ñ§¹«Ê½Çó³öÁ½ÎïÌåµÄÎ»ÒÆ¼°Ïà¶ÔÎ»ÒÆ´óС£®
½â´ð£º½â£º
£¨1£©ÒÔľ¿éºÍС³µÎªÑо¿¶ÔÏ󣬷½ÏòΪÕý·½Ïò£¬Óɶ¯Á¿Êغ㶨Âɿɵãº
mv=£¨M+m£©v
µÃv=
£¨2£©ÒÔľ¿éΪÑо¿¶ÔÏ󣬯äÊÜÁ¦Çé¿öÈçͼËùʾ£¬Óɶ¯Á¿¶¨Àí¿ÉµÃ
-ft=mv-mv
ÓÖf=¦Ìmg
µÃµ½
£¨3£©Ä¾¿é×öÔȼõËÙÔ˶¯£¬¼ÓËÙ¶Èa1=
³µ×öÔȼÓËÙÔ˶¯£¬¼ÓËÙ¶Èa=
ÓÉÔ˶¯Ñ§¹«Ê½¿ÉµÃ£ºvt2-v2=2as
Ôڴ˹ý³ÌÖÐľ¿éµÄÎ»ÒÆÎª
s1=
³µµÄÎ»ÒÆÎª
s2=
ľ¿éÔÚС³µÉÏ»¬ÐеľàÀëΪ¡÷S=S1-S2=0.8m
´ð£º
£¨1£©Ä¾¿éºÍС³µÏà¶Ô¾²Ö¹Ê±Ð¡³µµÄËÙ¶È´óСΪ0.4m/s£®
£¨2£©´Óľ¿é»¬ÉÏС³µµ½ËüÃÇ´¦ÓÚÏà¶Ô¾²Ö¹Ëù¾ÀúµÄʱ¼äÊÇ0.8s£®
£¨3£©´Óľ¿é»¬ÉÏС³µµ½ËüÃÇ´¦ÓÚÏà¶Ô¾²Ö¹Ä¾¿éÔÚС³µÉÏ»¬ÐеľàÀëÊÇ0.8m£®
µãÆÀ£º±¾ÌâµÚ£¨3£©ÎÊÒ²¿ÉÒÔÕâÑùÇó½â£ºÄ¾¿éµÄÎ»ÒÆÎªs1=
Á·Ï°²áϵÁдð°¸
Ïà¹ØÌâÄ¿