题目内容

如图所示,在光滑的水平面上叠放着两木块A、B,质量分别是m­1和m2,A、B间的动摩擦因数为μ,若要是把B从A下面拉出来,则拉力的大小至少满足(   )

A.       B.

C.              D.

 

【答案】

A

【解析】

试题分析:要使把B从A下面拉出来,则B要相对于A滑动,所以AB间都是滑动摩擦力,根据牛顿第二定律

对A有:

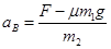
对B有:

当aB>aA时,能够把B从A下面拉出来,则有

解得:,故选A

考点:本题主要考查了牛顿第二定律的应用和对滑动摩擦力的理解,意在考查考生的推理能力.

 

练习册系列答案
相关题目

违法和不良信息举报电话:027-86699610 举报邮箱:58377363@163.com

精英家教网