题目内容
如图所示,一束带负电荷e,质量为m的电子流,平行于x轴以速度v射入第Ⅰ象限区域,为使这束电子能经过x轴上的b点,可在第Ⅰ象限某区域加一个正y方向的 匀强电场,场强大小为E,其范围沿y方向无限大,沿x轴方向宽度为s,已知oa=L,ob=2s.求电场右边界线跟b点的距离.
【答案】分析:电子在电场中做类平抛运动,而电场的区域则有可能:电场的右边界恰好在b点处,也可能电场的右边界在b点的右方向,也可能电场的右边界在b点的左边.因此根据不同情况来由平抛运动(运动分解)规律,来确定电场右边界线跟b点的距离.
解答:解:电子在电场中的轨迹是一条抛物线,而且一定经过b点,要考虑b点可能在电场中,也可能在电场外,所以会出现几种可能的情况,无论电子在电场中
沿-y方向的偏移量总可以用下式表示:
①
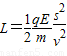
第一种情况:如果恰好y=L,则电场的右边界恰好在b点,

左边界在ob的中点,
,将①式 的y以L代入,
所以电场右边界线跟b点的距离为零.
第二种情况:如果b点在电场内电场右边界跑到b点的右方,

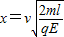
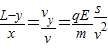
则s>x,L<y,t=
,因为
所以
结论:电场的左边界位于b点左方
处,右边界距b点为向右(s-
)处
第三种情况:整个电场都在b的左方,

一定有
,
注意到
,
可求得
可见电场的右边界在b点左方
远处
答:电场右边界线跟b点的距离可能值是:零或b点左方
处或b点左方
远处.
点评:若电场右边界在b点的右边或正好在b点时,则粒子在电场中的侧移量是相同的,不过初速度方向的位移不同.当电场右边在b点左边界时,粒子在电场中的侧移量减小,出现运动的时间与之前不同.
解答:解:电子在电场中的轨迹是一条抛物线,而且一定经过b点,要考虑b点可能在电场中,也可能在电场外,所以会出现几种可能的情况,无论电子在电场中
沿-y方向的偏移量总可以用下式表示:
第一种情况:如果恰好y=L,则电场的右边界恰好在b点,
左边界在ob的中点,
所以电场右边界线跟b点的距离为零.
第二种情况:如果b点在电场内电场右边界跑到b点的右方,
则s>x,L<y,t=
所以
结论:电场的左边界位于b点左方
第三种情况:整个电场都在b的左方,
一定有
注意到
可求得
可见电场的右边界在b点左方
答:电场右边界线跟b点的距离可能值是:零或b点左方
点评:若电场右边界在b点的右边或正好在b点时,则粒子在电场中的侧移量是相同的,不过初速度方向的位移不同.当电场右边在b点左边界时,粒子在电场中的侧移量减小,出现运动的时间与之前不同.
练习册系列答案
相关题目
| A、向纸内偏转 | B、向纸外偏转 | C、不动 | D、无法确定 |