题目内容

(10分)一质点从A点静止开始以1m/s2的加速度匀加速运动,经5s后达B作匀速运动,又经4s到C点,最后2秒的时间使质点从C点匀减速到D点速度为零,则:

(1)质点匀速运动的速度是多大?(3分)

(2)减速运动时的加速度是多大?(3分)

(3)AD相距多远? (4分)

 

【答案】

【1】5m/s【2】2.5 m/s2  【3】37.5m

【解析】

试题分析:

(1)根据

匀速运动的速度

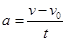
(2)根据

得减速运动的加速度,负号代表加速度方向与运动方向相反

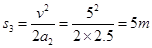
(3)加速度阶段的位移

匀速阶段的位移

减速阶段的位移

因此AD间的距离

考点:匀变速直线运动的应用

 

练习册系列答案
相关题目

违法和不良信息举报电话:027-86699610 举报邮箱:58377363@163.com

精英家教网