题目内容

如图所示,a、b、c是地球大气层外圆形轨道上运行的三颗人造地球卫星,a、b质量相同,且小于c的质量,则( )
A.b所需向心力最大
B.b、c周期相等,且大于a的周期
C.b、c向心加速度相等,且大于a的向心加速度
D.b、c的线速度大小相等,且小于a的线速度
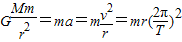
【答案】分析:根据万有引力提供向心力,可比较出周期、向心加速度、线速度的大小.
解答:解:A、人造地球卫星做圆周运动的向心力由万有引力提供,根据F=,可知c所需的向心力大于b所需的向心力.故A错误.
    B、,a=,v=,T=.知b、c周期相等,且大于a的周期.b、c加速度相等,小于a是加速度.b、c的线速度大小相等,且小于a的线速度.故B、D正确,C错误.
故选BD.
点评:解决本题的关键掌握万有引力提供向心力
练习册系列答案
相关题目

违法和不良信息举报电话:027-86699610 举报邮箱:58377363@163.com

精英家教网