题目内容
宇航员站在一星球表面上的某高处,沿水平方向抛出一个小球,经过时间t,小球落到星球表面,测得抛出点与落地点之间的距离为L.若抛出时的初速增大到2倍,则抛出点与落地点之间的距离为
【答案】分析:运用平抛运动规律表示出抛出点与落地点之间的距离求解星球表面重力加速度.
忽略星球自转的影响,根据万有引力等于重力列出等式求解天体质量.
解答:解:设小球平抛初速度为V,星球表面重力加速度为g,
第一次平抛,根据平抛运动水平方向和竖直方向规律得:
-------①
第二次平抛,根据平抛运动水平方向和竖直方向规律得:
-------②
联立①和②解得:
-------③
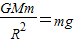
根据在星球表面万有引力等于重力得:
------④
结合③④解得M=
-------⑤
答:该星球的质量M是
.
点评:重力加速度g是天体运动研究和天体表面宏观物体运动研究联系的物理量.
忽略星球自转的影响,根据万有引力等于重力列出等式求解天体质量.
解答:解:设小球平抛初速度为V,星球表面重力加速度为g,
第一次平抛,根据平抛运动水平方向和竖直方向规律得:
第二次平抛,根据平抛运动水平方向和竖直方向规律得:
联立①和②解得:
根据在星球表面万有引力等于重力得:
结合③④解得M=
答:该星球的质量M是
点评:重力加速度g是天体运动研究和天体表面宏观物体运动研究联系的物理量.
练习册系列答案
相关题目