题目内容

如图甲所示,水平直线MN下方有竖直向上的匀强电场,现将一重力不计、比荷=106 C/kg的正电荷置于电场中的O点由静止释放,经过×10-5 s时间以后电荷以v0=1.5×l04 m/s的速度通过MN进入其上方的匀强磁场,磁场方向与纸面垂直,磁感应强度B按图乙所示规律周期性变化(图乙中磁场以垂直纸面向外为正.以电荷第一次通过MN时为t=0时刻).不考虑磁场变化产生的电场.求:

(1)匀强电场的电场强度E

(2)×10-5 s时刻电荷与O点的水平距离;

(3)如果在O点正右方d=32 cm处有一垂直于MN的足够大的挡板,求电荷从O点出发运动到挡板的时间.

答案:
解析:

  解:(1)电荷在电场中做匀加速运动,(1分)

  又(1分)

  解得(1分)

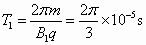
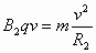
  (2)粒子进入磁场后做匀速圆周运动,(1分)

  由题知,在的时间内,粒子正好从图中的A点进入磁场,并在磁场中转半周从B点回到电场,

  根据,可得(1分)

  粒子再次进电场后先向下减速至0,在向上加速至v0回磁场,其中在电场中来回的时间为即粒子在时再次进入磁场(1分)

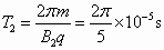
  粒子进磁场后做匀速圆周运动,(1分)

  由题知,在的时间内,粒子正好从图中的B点进入磁场,并在磁场中转半周从C点回到电场,,可得(1分)

  此后粒子再次进入电场减速重复以上运动,至时,粒子回到C点,

  故粒子与O点间的水平距离为(1分)

  解得(1分)

  (3)从粒子第一次进磁场开始计时,设粒子在复合场中运动的周期为T0,则

  


练习册系列答案
相关题目

违法和不良信息举报电话:027-86699610 举报邮箱:58377363@163.com

精英家教网