题目内容
如图所示,竖直放置的半圆形绝缘轨道半径为R,下端与绝缘水平面平滑连接,整个装置处于方向竖直向上的匀强电场E中.一质量为m、带电量为+q的物块(可视为质点),从水平面上的A点以初速度v水平向左运动,沿半圆形轨道恰好通过最高点C,场强大小(1)物块经过最高点C的速度为多大?
(2)试计算物块在运动过程中克服摩擦力做的功.
(3)证明物块离开轨道落回水平面的水平距离与场强大小E无关,且为一常量.
【答案】分析:(1)物块恰能通过圆弧最高点C,由重和电场力的合力提供向心力,根据牛顿第二定律求出物块通过最高点C时的速度;
(2)物块在运动过程中,重力做负功,电场力做正功,摩擦力做负功,根据动能定理求解克服摩擦力做的功;
(3)物块离开半圆形轨道后做类平抛运动,水平方向做匀速直线运动,竖直方向做自由落体运动,由运动学公式即可证明.
解答:解:(1)物块恰能通过圆弧最高点C,圆弧轨道此时与物块间无弹力作用,物块受到的重力和电场力提供向心力,则有
①
解得,
②
(2)物块在由A运动到C的过程中,设物块克服摩擦力做的功Wf,根据动能定理有
③
解得,
④
(3)物块离开半圆形轨道后做类平抛运动,设水平位移为s,
s=vct ⑤
2R=
⑥
由⑤⑥联立解得
s=2R ⑦
因此,物块离开轨道落回水平面的水平距离与场强大小E无关,大小为2R.
答:(1)物块经过最高点C的速度为
;
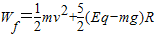
(2)物块在运动过程中克服摩擦力做的功是
+
(Eq-mg)R.
(3)证明见上.
点评:本题是向心力与动能定理、平抛运动等等知识的综合,关键要抓住物块恰能通过最高点C的临界条件,求出临界速度.
(2)物块在运动过程中,重力做负功,电场力做正功,摩擦力做负功,根据动能定理求解克服摩擦力做的功;
(3)物块离开半圆形轨道后做类平抛运动,水平方向做匀速直线运动,竖直方向做自由落体运动,由运动学公式即可证明.
解答:解:(1)物块恰能通过圆弧最高点C,圆弧轨道此时与物块间无弹力作用,物块受到的重力和电场力提供向心力,则有
解得,
(2)物块在由A运动到C的过程中,设物块克服摩擦力做的功Wf,根据动能定理有
解得,
(3)物块离开半圆形轨道后做类平抛运动,设水平位移为s,
s=vct ⑤
2R=
由⑤⑥联立解得
s=2R ⑦
因此,物块离开轨道落回水平面的水平距离与场强大小E无关,大小为2R.
答:(1)物块经过最高点C的速度为
(2)物块在运动过程中克服摩擦力做的功是
(3)证明见上.
点评:本题是向心力与动能定理、平抛运动等等知识的综合,关键要抓住物块恰能通过最高点C的临界条件,求出临界速度.
练习册系列答案
相关题目