题目内容
(1)B点到N板上端的距离L.
(2)小球到达B点时的动能EK.
【答案】分析:(1)小球沿直线运动碰到N板上的B点,知电场中小球所受合外力方向与运动方向相同,根据平抛运动进入电场时的速度方向求出电场力和重力的关系,从而求出B点到N板上的端的距离L.
(2)根据动能定理先求出小球进入电场前的动能,再根据动能定理求出小球到达B点时的动能.
解答:解:(1)小球到达板上端时的竖直分速度
设小球此时速度方向与竖直方向之间的夹角为θ

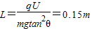
在电场中小球所受合外力方向与运动方向相同,设板间距为d
∴
解得

答:B点到N板上的端的距离L为0.15m.
(2)进入电场前
电场中运动过程qU+mgL=
解得Ek=0.175J
答:小球到达B点时的动能为0.175J.
点评:解决本题的关键知道平抛运动的规律,以及知道小球进入磁场后速度方向与小球所受的合力方向相同.
(2)根据动能定理先求出小球进入电场前的动能,再根据动能定理求出小球到达B点时的动能.
解答:解:(1)小球到达板上端时的竖直分速度
设小球此时速度方向与竖直方向之间的夹角为θ
在电场中小球所受合外力方向与运动方向相同,设板间距为d
∴
答:B点到N板上的端的距离L为0.15m.
(2)进入电场前
电场中运动过程qU+mgL=
解得Ek=0.175J
答:小球到达B点时的动能为0.175J.
点评:解决本题的关键知道平抛运动的规律,以及知道小球进入磁场后速度方向与小球所受的合力方向相同.
练习册系列答案
相关题目