题目内容

设热气球具有不变的容积V=250,气球蒙皮体积忽略不计,其质量m=100kg,在外界气温=27℃,气压=1atm的条件下使气球升空,此时外界空气的密度=1.2kg/,求:

(1)气球内部热空气的温度为多少时,才能使气球恰好升起?

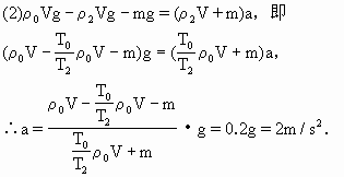
(2)先把气球系牢在地上,把其内部空气加热到稳定温度=327℃时,再释放气球,气球的初始加速度a是多少?(g=100m/)

答案:
解析:

(1)由,有,∴

对气球有:+mg,

  

  


练习册系列答案
相关题目

违法和不良信息举报电话:027-86699610 举报邮箱:58377363@163.com

精英家教网